電話:13570151199
傳真:020-39972520
地址:廣東省廣州市番禺區東環街番禺大道北555號天安總部中心30號樓6層
活性炭浸漬磺酸預處理制備葡萄糖
木質素是常見農業副產物,為了研究開發生物能源,本次介紹的是一款活性炭酸催化劑,該催化劑可以有效地對木質素進行預處理,并且其溫度要低于常規液態硫酸。在這方面,磺酸浸漬下的活性炭擁有高活性和選擇性在幾個酸催化的反應。本研究的總體目標是并排合成和系統地比較不同的磺酸固體酸浸漬的活性炭催化劑,以預處理木質素,隨后水解成葡萄糖。
活性炭浸漬磺催化劑與實驗方法
使用活性炭作為載體分別與對甲苯磺酸,甲磺酸和硫酸進行浸漬合成了三種固體酸催化劑。這項研究中的所有實驗均一式三份進行,所有活性炭催化劑均重復使用了3次。在這項研究中測試了四個處理變量(催化劑類型,預處理溫度,預處理時間和催化劑耐久性)。三種活性炭浸漬催化劑,溫度(30、60和90°C)和催化劑耐久性的水平測試,而預處理時間(90分鐘和120分鐘)有2個級別。使用混合模型分析數據,并采用切片效應測試以觀察在95%置信范圍內使用3類固定效應測試。
活性炭的EDX光譜
活性炭在磺化處理后,表面積減少,可能是由于碳與磺酸之間的氧化反應所致。活性炭骨架中磺酸基的浸漬減少了可用的孔體積,但是孔徑始終保持在20nm左右。活性炭的表面化學性質發生了顯著變化。與對照(原料活性炭)相比,磺酸浸漬的活性炭催化劑的總酸度顯著提高。具體而言,對于由磺酸,羧酸,內酯和磺酸組成的活性炭催化劑,總酸度增加了幾倍。酚基,表明活性炭和磺酸前體之間的氧化反應。此外,當進行元素分析時,磺酸負載的碳在表面上也表現出明顯的變化。未浸漬活性炭和活性炭浸漬甲磺酸的EDX光譜如圖1所示。由于磺酸的形成,該表面在2.3keV處顯示出硫的存在。在酯化反應中測試了磺化活性炭催化劑,在該反應中發現了約2.3keV的硫峰。我們的表征數據也通過XPS分析得到了證實,該分析提供了有關磺化活性炭表面化學的信息。

圖1:從活性炭(a)和甲磺酸浸漬的活性炭(b)獲得的能量色散X射線光譜。
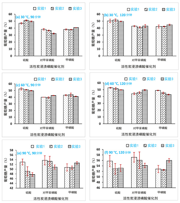
活性炭浸漬磺酸預處理對葡萄糖產生的影響
溫度對所有活性炭催化劑的葡萄糖產率的影響示于圖2中。發現溫度對用三種不同的活性炭浸漬磺酸催化劑處理的木質素獲得的葡萄糖產量具有顯著影響(p<0.05)。對于測試的溫度范圍(30–90°C),活性炭浸漬對甲苯磺酸催化的葡萄糖產率為31.5%至57.13%,活性炭浸漬甲磺酸催化的葡萄糖產率為37.91%至56.01%,活性炭浸漬硫酸催化的葡萄糖產率為46.96%至55.75%。有趣的是,活性炭浸漬中對甲苯磺酸和甲磺酸相比,在90和120分鐘的預處理時間內,即使在較低的溫度(30和60°C)下,活性炭浸漬硫酸的產量也更高。但是,隨著溫度升高至90°C,對于所有測試的催化劑,未觀察到葡萄糖產率的差異。發現在較高溫度下進行預處理可以提高纖維素的溶解度和酶與纖維素的相互作用,從而提高葡萄糖的收率。

圖2:在不同溫度和反應時間下,用活性炭浸漬磺酸催化劑預處理木質素的酶促水解后的葡萄糖收率(%)。
預處理時間結表明,反應時間對葡萄糖的產生有顯著影響(p<0.05)。總的來說,更長的反應時間可以提高葡萄糖的產量。在測試的最低溫度(30°C)下,對于三種活性炭催化劑,在90-120分鐘的預處理后觀察到的葡萄糖產量增加了0.06%至10.77%。反應時間從1小時增加到3小時,單糖的產率提高了12.5%。所以在高溫和長時間反應下能增加葡萄糖的產率。至于磺酸固酸預處理對木素脫氫的影響,研究發現磺化活性炭催化劑可能通過形成疏水基團和親水基團而破壞了木質素的結構,并隨后增強了纖維素和酶之間的吸附相互作用。
木質素用磺酸浸漬的活性炭催化劑預處理,隨后將葡聚糖酶促轉化為葡萄糖。結果表明,磺酸浸漬的活性炭催化劑對木質素的預處理是有效的。在較低的溫度(30和60°C)下,發現活性炭浸漬硫酸比其他兩種磺酸更有效,但在90°C下沒有發現差異。然而,發現反應時間顯著影響預處理過程。另外,該催化劑被成功地重復使用了三遍,而活性損失最小。我們的結果表明,浸漬了磺酸的活性炭催化劑可能會減少酸的處理量,并使生物質制醇更加方便和對環境友好。
文章標簽:椰殼活性炭,果殼活性炭,煤質活性炭,木質活性炭,蜂窩活性炭,凈水活性炭.推薦資訊
- 2026-02-25活性炭吸附處理啤酒廠廢水
- 2026-02-13活性炭吸附處理含汞廢氣
- 2026-02-04活性炭用于從廢水中吸附去除微量鎘和鉛
- 2026-01-28活性炭潔牙粉專用
- 2026-01-20活性炭在廢氣處理中的一些常識
- 2026-01-13活性炭在精制糖生產中的脫色效果
- 2026-01-07活性炭對咪唑基離子液體的吸附性能
- 2025-12-24活性炭改性增強對乙酰氨基酚的吸附
- 2025-12-15活性炭吸附馬兜鈴酸
- 2025-11-27超細活性炭5000目粉末活性炭
- 2025-11-26活性炭在硫化橡膠襯套中的應用
- 2025-11-19活性炭吸附重晶石混合物中的銅和鋅
